第十批免征购置税新能源汽车车型公布 纯电动汽车占84.3%
据工信部网站了消息,4月27日,工信部发布了第十批免征车辆购置税的新能源汽车车型目录,共有63纯电动乘用车、354款纯电动客车,57款纯电动货车、180款纯电动专用车,9款插电式混合动力乘用车、110款插电式混合动力货车、2款燃料电池客车、1款燃料电池专用车进入目录,共计776款新能源汽车。
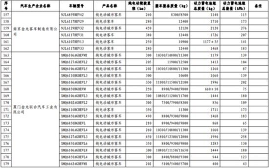
按动力类型来看,纯电动汽车共有654款,占总目录的84.3%。其中,乘用车63款,客车354款,货车57款,专用车180款。插电式混合动力汽车共有119款,占总目录的15.3%。其中乘用车9款,客车110款。燃料电池汽车共有3款,其中客车2款,专用车1款。按车型来看,《目录》中,乘用车车型共有72款,客车466款,货车57款,专用车共181款。
纯电动乘用车方面,江淮iEV4/iEV6E时光版,北汽EX260/EU300,北汽新能源EC180/ARCFOX1/EX260,现代新伊兰特EV,比亚迪e6/元EV/宋EV,东风汽车E70/E17/俊风 ER30,东风悦达起亚华骐,电咖EV10,广汽传祺GE3,海马汽车@3,众泰E200/云100S,江铃E200S,昌河北斗星X5E,奇瑞Arrizo5 e/瑞虎 3xe,上汽荣威eRX5,上汽通用宝骏 E100,野马E70S/M302EV,一汽夏利骏派 A70E,知豆 D1/D2/远景 EVmini,吉利K12A,一汽奔腾 B30EV,长安之星9,长安奔奔 mini e/欧力威 EV,长安奔奔EV,宝马纯电动 BMW i3升级款等车型入选。











































分享让更多人看到
相关新闻
- 评论
- 关注
























第一时间为您推送权威资讯
报道全球 传播中国
关注人民网,传播正能量